
摘 要:在10kV及以下配电线路中,由于电缆线路具有在通道问题上比较灵活(不需考虑电气间隙,既可埋地,又可架空,占用空间小)等诸多架空线不可比拟的优点,故在配电线路中电缆是一种普遍采用的电力传输方式。本文就此话题进行交流探讨!

当10kV及以下配电线路需要通过建筑物和居民密集区,地面空间有限、不能立设杆塔和架空线时,就需要采用电缆进行走线。电缆线路具有在通道问题上比较灵活(不需考虑电气间隙,既可埋地,又可架空,占用空间小)等诸多架空线不可比拟的优点,故在配电线路中电缆是一种普遍采用的电力传输方式。

由于在造价方面单位长度的电缆线材价格甚至达到了架空线的5倍以上,故在电缆线路设计中,能否对电缆进行合理选型,将直接关系到整个项目的经济合理性,为此,我们有必要对电缆的选型作更加深入的研究。

电缆的选择内容包括两方面:一是确定其结构、型号、使用环境和敷设方式等;二是选择导线和电缆的截面。
以下,本文简要梳理之。
.
2、 电缆类型的选择2.1 电缆导体材料的选择
用作电缆的导体材料,通常有铜和铝两种。铜材在导电率、载流量、机械性能、延展性及加工和安装上与铝材相比都具有优势。铝材尤其在连接性能上有着天然的劣势,在做电缆接头的时候,很容易快速产生氧化铝,导致在连接过程中产生虚接,从而引起接触电阻加大及电缆接头部位发热等问题。在配电设计的电缆选型中,除了对铜有腐蚀而对铝腐蚀相对较轻的环境、氨压缩机房、架空输电线路和较大截面的中频线路四种情况外,绝大多数情况下都会选择铜材作为电缆的导体材料。

2.2 电缆芯数的选择
电缆芯数是由配电系统的系统制式决定的。35kV交流系统一般为三相系统,采用3芯或3×1单芯电缆;6kV~10kV交流系统也为三相系统,常采用3芯电缆;1kV以下交流系统可分为单相二线制、两相三线制、三相三线制、三相四线制四种,常用2~5芯电缆(主干电缆也可采用单芯电缆)。
2.3 电缆绝缘水平的选择
3kV~35kV系统一般采用中性点不接地或者经高阻抗接地系统,其单相接地故障会持续较长时间,在系统运行中时常发生绝缘击穿故障,所以必须选用比相电压U0高一档的电压等级,即第Ⅱ类U0。比如在10kV系统中,应该选择电缆的额定电压为8.7kV/10kV,而不能选择6kV/10kV。220V/380V系统,在《低压配电设计规范》第5.2.5条文说明中明确规定对于单相接地故障的切断时间不应大于5s,所以可以选择第Ⅰ类U0。
2.4 绝缘材料的选择
最常见的绝缘材料是聚氯乙烯和交联聚乙烯两种。由于交联聚乙烯比聚氯乙烯有着更高的长期允许工作温度、短路热稳定允许温度、同等截面积下更高的载流量,而且交联聚乙烯不含卤素更符合环保化趋势,所以在两种材料价格逐渐缩小的情况下,应优先选择交联聚乙烯绝缘电缆。需特别指出在以下四种情况下,不宜选择聚氯乙烯绝缘电缆:
1) 60℃以上的高温场所;
2) 6kV及以上配电系统;
3) -15℃以下低温环境;
4) 对防火有低毒性要求的场所。
2.5 电缆护层类型选择
电缆外护层的选择与电缆的敷设方式及环境条件有直接的关系。1kV及以下低压常有的绝缘电线有以下几种:聚氯乙烯绝缘电线、聚氯乙烯绝缘软线、橡皮绝缘电线、电力和照明用聚氯乙烯绝缘软线等。6~35kV交联聚乙烯绝缘聚氯乙烯护套电力电缆,介质损耗低,性能优良,结构简单,制造方便,外径小,质量轻,载流量大,敷设方便,不受高差限制,耐腐蚀,做终端和中间接头较简便,因而被广泛采用。

此外,还应根据敷设场所的要求确定采用普通型、阻燃型或耐火型电缆。
.
3 、电缆截面选择的原则为保证供电系统安全、可靠、优质、经济地运行,选择电缆截面时必须满足下列条件:
(1)按长期允许载流量选择电缆截面:
为了保证电缆的使用寿命,运行中的电缆导体温度不应超过导体绝缘所能承受的长期允许最高工作温度。
(2)校验其短路时的动、热稳定度:
电缆在通过正常最大负荷电流即计算电流时产生的发热温度,不应超过其正常运行时的最高允许温度(高压电缆要校验短路热稳定性;低压电缆,对非熔断器保护回路,当短路电流较大时,也需进行热稳定校验)。
(3)按电网允许电压降校验电缆截面:
电缆在通过正常最大负荷电流即计算电流时产生的电压损耗,不应超过其正常运行时允许的电压损耗(对于工厂内较短的高压线路,可不进行电压损耗校验)。
(4)校验机械强度:
对于电缆,如不架空敷设,不必检验其机械强度,对于架空敷设时,需考虑具有足够的机械强度。
(5)按经济电流密度选择电缆截面:
35kV及以上的高压电缆及35kV以下的长距离、大电流电缆线路(例如较长的电源进线和电弧炉的短网等线路),其电缆截面宜按经济电流密度选择,以使线路的年运行费用支出最小(工厂内的10kV及以下线路,通常不按经济电流密度选择)。
(6)低压电缆应符合过负荷保护的要求:
TN系统中还应保证在接地故障时保护电器能断开电路。
电缆截面的选择和校验项目可参看下表:
电缆截面的选择和校验项目

.
4 、电缆截面选择的具体方法4.1 持续允许载流量
按载流量选择截面是为保证电缆的实际工作温度不超过电缆绝缘所允许的长期工作温度,即电缆的载流量不应小于线路的工作电流。导体的允许载流量,不仅和导体的截面、散热条件有关,还与周围的环境温度有关,根据不同条件需对电缆的持续允许载流量进行以下修正:
(1)环境温度的修正
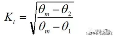
《电力工程电缆设计规范》(GB 50217-2018)附录C中,列出了部分电缆的持续允许载流量,基准环境温度条件为:空气中敷设环境温度为40℃,埋地敷设环境温度25℃;在不同的环境温度敷设条件下,电缆允许的载流量尚应乘以相应的校正系数Kt:

θm—电缆导体最高工作温度(℃);
θ1—对应于额定载流量的基准环境温度(℃);
θ2—实际环境温度(℃)。
(2)土壤热阻系数的修正
同样,“电缆规”中,列出的是土壤热阻系数为1.2℃·m/W的持续允许载流量,当实际土壤热阻系数不同时,电缆允许的载流量尚应乘以相应的校正系数Ktr。
不同土壤热阻系数时电缆载流量的校正系数

注: 1.适用于缺乏实测土壤热阻系数时的粗略分类,对110kV及以上电缆线路工程,宜以实测方式确定土壤热阻系数;2.校正系数适于附录 C 各表中采取土壤热阻系数为 1.2K·m/W的情况,不适用于三相交流系统的高压单芯电缆。
电缆导体工作温度大于70℃的电缆,土壤热阻系数取值不宜小于2.0℃·m/W(当未明确土壤类型和地理位置时,可取2.5~3.0℃·m/W,对应Ktr取0.81~0.75)。干燥土壤中,电缆穿管埋地比电缆直埋散热效果稍好,故载流量在电缆直埋的基础上可按提高5%左右(Ktr约为0.85)考虑。
(3)电缆多根并列的修正
电缆多根并列敷设时,由于导体数量较多,可能会导致环境温度显著提高,电缆允许的载流量尚应乘以相应的校正系数Kp。
土中直埋多根并行敷设时电缆载流量的校正系数

注:不适用于三相交流系统单芯电缆。
空气中单层多根并行敷设时电缆载流量的校正系数

注:1.S为电缆中心间距,d为电缆外径;2.按全部电缆具有相同外径条件制订,当并列敷设的电缆外径不同时, d值可近似地取电缆外径的平均值;3.不适用于交流系统中使用的单芯电力电缆。
电缆桥架上无间距多层并列电缆续载流量的校正系数

注:呈水平状并列电缆数不少于 7 根。
(4)户外日照的修正
当电缆在户外明敷时,日照可能会导致环境温度显著提高,电缆允许的载流量尚应乘以相应的校正系数Krz。
1kV~6kV 电缆户外明敷无遮阳时载流量的校正系数

注:运用本表系数校正对应的载流量基础值,是采取户外环境温度的户内空气中电缆载流量。
因此,电缆的允许电流应按下式计算:

Ial—导体中所允许通过的长期工作电流,称为该导体的允许载流量。
按发热条件选择三相系统中的相线截面时,应使其允许载流量Ial不小于通过相线的计算电流I,即:
Ial≥I

P-负载功率(W) U-负载线电压(V) cosφ-负载功率因率
4.2 短路时的热稳定
电气设计领域当中的电压为0.6/1.OkV以下,普通的电热稳定度,主要指的是当电缆发生短路时,导体的温度必须要低于绝缘体的承受范围极限。如果电缆的截面能够适应短路时热稳定度的客观要求,不必特意选择相应截面的电缆,只需加装熔断器对电缆进行保护即可。然而,如果电缆的电压为3.5/6.OkV以上,普通的电缆难以满足短路时热稳定度的要求,需要进行短路热稳定度核算,以选择合适的电缆截面。短路热稳定度核算公式如下:

式中:Smin为短路热稳定要求的最小截面积,以mm2为单位;I∞为稳定状态下的短路电流,以A为单位;C为热稳定系数值;t为短路电流时间,以s为单位。
根据上式,可计算得出电缆短路时热稳定度的最小截面。

4.3 允许电压损失
在电气设计过程当中,如果是通过电压损失对电缆截面进行检验,全部用电设备的电压都应该控制在电压偏差值的合理范围之内,同时鉴于电气设备的工作状态会随着时间的推移而发生下降式的表现,因此电设备的运行状态也是需要重点考虑的内容之一。如果该电气设备的用电次数较少,可将其电压偏移的允许范围限定得宽一些,以避免造成建设成本的浪费。基于保证供电质量满足实际使用要求的基本原则,需要以允许电压降校验电缆的截面,允许电压降校验的公式如下:


式中:S为电缆的截面面积,以mm2为单位;I为负荷电流,以A为单位;U为额定电压,在单相电力系统当中为相电压,而在三相电力系统当中则为线电压;L为电缆的总长度,以m为单位;△u%为允许电压降的百分数;ρ为电缆的电阻率,以Ω·mm2/m为单位。
4.4 机械强度
对于架空电缆,在满足载流量的截面基础上,可优先考虑采取钢绞线悬吊电缆,并加密电缆挂钩等方式以保证电缆的的机械强度满足架空强度。

4.5 经济电流密度
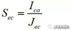
电缆截面的选择是一项周密而系统的工作,如果选择小的电缆截面,可减少工程的初期资金投入,然而后期的电力损耗会增加,相反,如果选择大的电缆截面,初期资金投入比较大,但是后期的电力损耗可控制在合理的范围之内。鉴于此,电缆截面的最终选择应该是损耗与投资达到高度优化状态的电缆截面面积,需要遵循总费用的最小法则。经济电流密度的计算公式为:

式中:Sec为电缆的截面,以m为单位;Ica为最大负荷电流,以A为单位;Jec为经济电流的密度,以A/mm2为单位。该公式的运用,其关键在于明确电缆线路的最大负荷利用时间,同时根据电缆线芯的材质来计算经济电流密度,铜质与铝质电缆线芯的经济电流密度各不相同。经计算所得的电缆截面值,应当大于经济电流密度的计算结果,且相差不应该太大。
经济电流密度Jec值(A/mm2)

4.6 低压电缆保护灵敏度
保护灵敏度校验同样是选择电缆截面的重要原则与依据,不同系统制式的配电线路,其保护的灵敏度也有所不同,这是电气设计人员需要明确认识到的问题之一。如果以低压断路器作为保护电器,所选用的电缆的截面也应该做出相关的调整,电缆的末端的短路电流应当大于瞬时脱扣器的电流,且电流的参数应当保持在瞬时脱扣器的电流的1.2~1.5倍之间,从而合理选择电缆的截面,满足电力系统正常的使用要求。

确定电缆的使用规格(导体截面)时,根据经验:低压动力线因其负荷电流较大,故一般先按发热条件选择截面,然后验算其电压损失、短路热稳定性和机械强度;低压照明线因其对电压水平要求较高,可先按允许电压损失条件选择截面,再验算发热条件和机械强度;对高压线路,则先按经济电流密度选择截面,然后验算其发热条件、短路热稳定性和允许电压损失;而对于高压架空线路,还应验算其机械强度。此外,低压电线电缆还应满足过负载保护的要求。
.
5 、结 语电缆的选择由众多因素所决定,在电缆截面选择时,无论按哪种方法选择都应该用其它方法进行校验,技术原则与经济指标是选择电缆截面的双重标准,两者对立统一、不可分割,电缆设计选型时需综合考虑。电缆的优化选用很大程度上影响着工程的造价,设计人员对此需进行详细计算、精心比选,以便项目达到较好的经济效益。

文转至 姜姜输配电 微信公众号,图文版权归属原作者。欢迎更多的朋友分享您们的工作经历、工作经验、工作想法。本文为原作者个人观点,不代表本公众号赞同其观点和对其真实性负责。